連續渦輪流量計資料定量解釋方法
摘 要 :根據渦輪流量計的響應方程 , 給出了連續渦輪流量計資料的 2種定量解釋方法. 逆流 、順流曲線重疊法 可節省現場錄取資料的時間 ,有效消除流體黏度 、密度變化的影響 ;多次測 量解釋法 需要錄取 多個電纜 速度下的 渦輪轉速 資料 , 有時必須取得渦輪正轉 、反轉兩方面資料 , 增加了現場施工的工作量 , 但其解釋精度較高 , 尤其是啟動速度比值法.
0 、引言:
連續渦輪流量計沒有復雜的集流裝置,其以一定的電纜速度逆流或順流穿過射孔層段連續測量,也可以定點測量[ 1]. 它具有錄取資料的成功率高 、測量流體的上限排量高的優點[ 2]. 但是 , 連續渦輪流量計的渦輪轉速與流體流速有關 ,與電纜速度也有關. 連續渦輪流量計的響應還受流型 、流體黏度、流體密度等因素的影響,這種情況在多相流井中尤為突出 ,因此,連續渦輪流量計比集流點測渦輪流量計的定量解釋復雜得多. 作者從渦輪流量計的響應方程出發, 給出了連續渦輪流量計測井資料的 2 種定量解釋方法.
1、逆流 、順流曲線重疊法:
無論注入井還是生產井, 渦輪流量計逆流和順流 2 次測量 ,均可得到 2 條渦輪轉速曲線 ,其中應保證順流的電纜速度(測速)大于流體流速 ,使渦輪反轉. 解釋時 ,正轉和反轉渦輪轉速均取正值, 將 2 條渦輪轉速曲線在零流量層重合,其它各測點流體的視速度用 2 條曲線的幅度差計算.逆流 、順流曲線重疊法示意見圖 1. 圖中 ΔN =Nsp – Nsn.其解釋原理:設逆流測量時渦輪正轉, 零流量層的渦輪正、反轉響應方程分別為

逆流 、順流測量時某測點處渦輪正 、反轉響應方程分別為

式(1 ~ 4)中:vlp , vln分別為逆流、順流測量時的電纜速度;vt 為渦輪啟動速度;vfa為流體視速度 ;kp , kn 分別為渦輪正 、反轉刻度線的斜率. 平移其中 1 條曲線,可使零流量層渦輪正 、反轉轉速曲線重合 ,即
kp(v lp – v t) =kn (vln – vt ) . (5)
從測點處渦輪正 、反轉響應方程可解出 vfa :

該方法快速直觀 ,可有效消除流體黏度、密度變化的影響. 即黏度 、密度變化時, 逆流、順流 2 條曲線向相同方向偏轉 ,且偏轉量相同,所以用幅度差可消除流體黏度 、密度變化給計算結果帶來的誤差 ,由于黏度、密度不同,因此 2 條曲線不對稱 ,見圖 1(b).
2、多次測量解釋法:
渦輪正轉的動態響應方程為N =k(v l +v fa – v t) , (7)式中 :vl ,vfa ,vt 分別為電纜速度 、流體視流速、渦輪啟動速度 ;k 為斜率. 根據式(7), 令截距 bd =k(vfa -vt ), 則
N = kv l +bd . (8) 理論上,如果用 vl1和 vl2 測量 ,得到渦輪轉速 N1 和 N2 , 即N 1 =kv l1 +bd , (9)N 2 =kv l2 +bd .
解式(9),(10)聯立方程組可得到 k 和bd ,再由公式 bd =k(vfa – vt)可計算出 vfa :v fa =bdk+vt.
由于黏度及逆流 、順流測量時渦輪非對稱性的影響 ,為提高精度, 實際應用中常采用至少 6 次的電纜速度進行逆流和順流測量 ,然后用***小二乘法確定現場刻度線的斜率 k 和截距bd :

式中 :vli為第 i 次測量時電纜速度;N i 為第i 次測量時某測點渦輪轉速;n 為擬合時采用資料點總數.要計算流體視流速, 首先要求取渦輪實際啟動速度 vt , 按處理方式不同, 可分為啟動速度比值法和斜率截距法.
2. 1、啟動速度比值法:
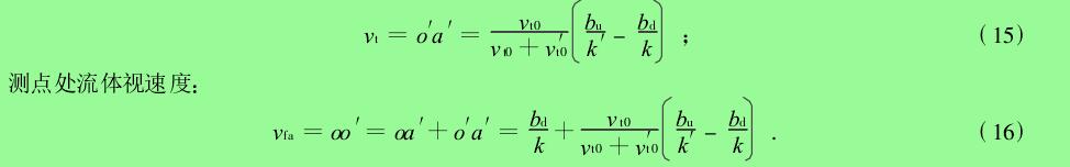
用***小二乘法分別擬合出測點和零流量層渦輪正、反轉的現場刻度線,見圖 2(a). 由于黏度等因素的變化, o′通常并不對稱于a′,b′. 為確定 o′點的準確位置 ,即確定渦輪在測點處的正轉和反轉的實際啟動速度 o′a′和o′b′,假定測點和零流量層的正、反轉啟動速度比相等 ,可得 :

o′a′=oaoa +ob (ob′- oa′) , (14)由于 oa =vt0 ,ob =v′t0 ,oa′=bd /k ,ob′=bu /k′,vt0 ,v′t0 分別為零流量層渦輪正、反轉啟動速度;k ,k′分別為某測點正、反轉現場刻度線的斜率 ;bd ,bu 分別為某測點正 、反轉現場刻度線在渦輪轉速軸上的截距. 因此 ,測點處渦輪正轉啟動速度 :

從式(16)可看出 ,啟動速度比值法除了要求有測點處正 、反轉現場刻度線, 還要求有零流量層正、反轉刻度線. 由于該方法充分利用了此信息,因此, 它可校正流體黏度 、渦輪摩阻及渦輪結構非對稱性等因素的影響.
2. 2、斜率截距法:
如果沒有測點反轉現場刻度線 ,可用零流量層正、反轉刻度線在電纜速度軸截距之差值的 1 /2 作為渦輪啟動速度 vt ,然后用式(11)或式(17)確定流體視速度 vfa ,其圖解見圖 2(b).
vfa =N 0k+vt. (17)式中 :N0 為在測點處儀器靜止時測量的渦輪轉速.如果只有測點渦輪正 、反轉資料,而沒有零流量層資料 ,則可將擬合出的測點正 、反轉刻度線在電纜速度軸截距之差值的 1 /2 作為渦輪啟動速度 vt , 見圖 2(a),將其代入式(11),得v fa =12bdk+buk′. (18)
從式(18)可看出 ,流體視速度只與測點正 、反轉現場刻度線的斜率及其在渦輪轉速軸上的截距有關 ,故將此種確定流體視速度的方法稱為斜率截距法. 該方法假定渦輪結構完全對稱 ,即認為渦輪正 、反轉啟動速度相等. 因此 ,該方法在渦輪正、反轉啟動速度不等時 ,會產生較大誤差.
3 、分層流量的計算:
由于連續渦輪流量計測量的是井筒中心處流體的流速 ,因此 ,求得流體視速度后 ,要利用管道速度剖面校正系數將其校正為平均流速, 再結合管子常數計算測點處流體的流量 ,然后采用遞減法計算各層的流量,即以該層上 、下測點流量之差作為該層流體的注入量或產出量.
4、結論:
(1)連續渦輪流量計資料定量解釋的關鍵在于從渦輪轉速中消除電纜速度引起的附加轉速,同時***大限度地減小流型 、流體黏度、流體密度等因素變化對渦輪響應的影響.(2)逆流、順流曲線重疊法可節省現場錄取資料的時間 ,定量計算時快速直觀,并且可以有效消除流體黏度 、密度變化的影響.(3)多次測量解釋法需要錄取多個電纜速度下的渦輪轉速資料, 有時必須取得渦輪正、反轉兩方面資料,增加了現場施工的工作量. 但它的解釋精度較高 ,尤其是啟動速度比值法.
